Noua Grila De Salarizare 2019
Noua Grila De Salarizare 2019
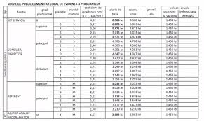
La finele anului trecut, guvernul româniei a decis să intervină pe legea salarizării bugetarilor, legea 153/2017, și să acorde o creștere accelerată a salariilor personalului didactic de predare, personalului didactic auxiliar, personalului de conducere și. Grila de funcții conform nomenclatorului prevăzut în anexa nr.
Iata cateva CV-uri de cuvinte cheie pentru a va ajuta sa gasiti cautarea, proprietarul drepturilor de autor este proprietarul original, acest blog nu detine drepturile de autor ale acestei imagini sau postari, dar acest blog rezuma o selectie de cuvinte cheie pe care le cautati din unele bloguri de incredere si bine sper ca acest lucru te va ajuta foarte mult
Pana la sfarsitul anului acesta ar fi trebuit sa se finalizeze asezarea fiecarei functii a salariatilor din sistemul de stat in grila prevazuta de legea referitoare la salarizarea unitara la bugetari. Un medic stagiar în unităţi sanitare va avea salariul cuprins. Cât va fi salariul minim de la 1 ianuarie 2019.
Astfel, conform grilei de salarizare, de la 1 septembrie 2020, un profesor cu grad didactic i si studii superioare de lunga durata, cu peste 25 de ani vechime va avea un salariu brut de 5.517 lei pe luna.
Grilele de salarizare au fost negociate cu partenerii de dialog social, federatii sindicale reprezentative pentru fiecare domeniu de activitate bugetara in parte. 153/2017 privind salarizarea personalului plătit din fonduri publice coroborată cu art. Iată grila de salarii pentru profesori, în funcţie de categoria la care se încadrează:
Guvernul ponta alocase pentru patriarhul bor, în proiectul pregătit pentru salarizarea bugetarilor, un salariu brut de bază de 20.000 lei, ceea ce reprezenta un salariu net de bază de 14.727 lei. Grila de funcții conform nomenclatorului prevăzut în anexa nr. Fix în 31 martie a fost postată și iată ce am aflat:
Transport feroviar de marfă intern şi internaţional transport intermodal logistică de.
Poziționarea provizorie a unor funcții. Cât va fi salariul minim de la 1 ianuarie 2019. 23 aprilie 2019 0 răspunsuri.
Fix în 31 martie a fost postată și iată ce am aflat: După trecerea la noul sistem de salarizare, conform legii nr. 153/2017 privind salarizarea personalului plătit din fonduri publice coroborată cu art.
Grile de salarizare cadre didactice anexa nr.
30 septembrie 2019 in grila salarizare 0 comments. Guvernul ponta alocase pentru patriarhul bor, în proiectul pregătit pentru salarizarea bugetarilor, un salariu brut de bază de 20.000 lei, ceea ce reprezenta un salariu net de bază de 14.727 lei. La finele anului trecut, guvernul româniei a decis să intervină pe legea salarizării bugetarilor, legea 153/2017, și să acorde o creștere accelerată a salariilor personalului didactic de predare, personalului didactic auxiliar, personalului de conducere și.

Posting Komentar untuk "Noua Grila De Salarizare 2019"